Na essência dos nobreaks e muitos outros dispositivos que garantem a eficiência e segurança dos nossos aparelhos eletrônicos, está a corrente elétrica.
Mas, afinal, o que é corrente elétrica?
Corrente elétrica é o movimento ordenado de partículas carregadas, geralmente elétrons, através de um material condutor, como um fio de metal.
Esse fluxo ocorre quando existe uma diferença de potencial (tensão elétrica) entre dois pontos do material, levando as cargas elétricas a se deslocarem de um ponto a outro, formando a corrente.
A corrente elétrica é fundamental para o funcionamento de praticamente todos os dispositivos eletrônicos e sistemas elétricos, sendo uma parte essencial da vida moderna.
Tipos de corrente elétrica
Existem dois tipos principais de corrente elétrica, cada uma com características específicas e aplicações em diferentes dispositivos e sistemas:
Corrente Contínua (CC ou DC – Direct Current):
- Em uma corrente contínua, os elétrons fluem sempre na mesma direção, do polo negativo para o polo positivo.
- Exemplos de fontes de corrente contínua incluem baterias, células solares e fontes de alimentação CC, como as usadas em dispositivos eletrônicos portáteis (smartphones, laptops, etc.).
- A corrente contínua é ideal para dispositivos eletrônicos que requerem um nível de tensão estável.
Corrente Alternada (CA ou AC – Alternating Current):
- Na corrente alternada, o fluxo de elétrons muda de direção periodicamente, alternando entre para frente e para trás.
- Esse tipo de corrente é o padrão em sistemas de distribuição de energia elétrica, devido à sua capacidade de ser facilmente transformada em diferentes níveis de tensão com o uso de transformadores.
- A corrente alternada alimenta a maioria dos aparelhos domésticos e industriais e é a forma de energia fornecida pelas empresas de eletricidade.
Cada tipo de corrente tem suas vantagens, e a escolha entre CC e CA depende da aplicação específica, dos requisitos do dispositivo ou sistema e da eficiência desejada.
Onde encontramos a corrente elétrica
Aqui estão alguns exemplos práticos de onde encontramos corrente elétrica em nosso dia a dia, ilustrando tanto a corrente contínua (CC) quanto a corrente alternada (CA):
Exemplos de Corrente Contínua (CC):
- Dispositivos Eletrônicos Portáteis: Smartphones, laptops e tablets utilizam baterias que fornecem corrente contínua.
- LEDs: Lâmpadas LED e displays de LED operam com corrente contínua.
- Veículos Elétricos: Os carros elétricos são alimentados por baterias que fornecem corrente contínua, que é então convertida conforme necessário para alimentar diferentes componentes do veículo.
- Sistemas de Energia Solar: Painéis solares geram corrente contínua quando expostos à luz solar, que pode ser armazenada em baterias ou convertida em corrente alternada para uso doméstico.
Exemplos de Corrente Alternada (CA):
- Eletrodomésticos: Refrigeradores, micro-ondas, condicionadores de ar e a maioria dos grandes aparelhos são alimentados por corrente alternada, que é o tipo de energia fornecida pelas redes elétricas residenciais.
- Ferramentas Elétricas: Muitas ferramentas elétricas usadas em construção e manufatura, como furadeiras e serras, operam com corrente alternada.
- Iluminação Residencial: A maioria das casas é iluminada por lâmpadas que funcionam com corrente alternada.
- Sistemas de Distribuição de Energia: A energia elétrica transmitida pelas linhas de transmissão de longa distância é em forma de corrente alternada devido à sua capacidade de ser facilmente transformada para diferentes níveis de tensão, reduzindo assim as perdas de transmissão.
Esses exemplos demonstram a onipresença da corrente elétrica em uma ampla variedade de aplicações, desde o carregamento de um telefone celular até a operação de sistemas de transporte e a iluminação e climatização de nossos lares.
Qual a unidade de medida da corrente elétrica

A unidade de medida da corrente elétrica é o Ampère, simbolizado por A.
O Ampère, uma das unidades básicas do Sistema Internacional de Unidades (SI), define a quantidade de carga elétrica que passa por um ponto em um condutor em um segundo.
Um Ampère é equivalente ao fluxo de um coulomb de carga elétrica por segundo.
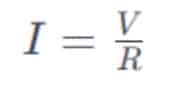
Como se calcula a corrente elétrica
Para calcular a corrente elétrica, você pode usar a lei de Ohm, que é uma das bases da eletricidade.
A fórmula básica é:

Onde:
- I representa a corrente elétrica, medida em Ampères (A).
- V é a tensão ou diferença de potencial elétrico, medida em Volts (V).
- R é a resistência do circuito, medida em Ohms (Ω).
Esta fórmula diz que a corrente elétrica em um circuito é diretamente proporcional à tensão aplicada e inversamente proporcional à resistência do circuito.
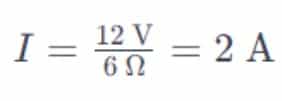
Por exemplo, se você tem um circuito com uma tensão de 12 Volts e uma resistência de 6 Ohms, a corrente que flui pelo circuito seria:

Isso significa que uma corrente de 2 Ampères está fluindo pelo circuito.
Intensidade da corrente elétrica
A intensidade da corrente elétrica refere-se à quantidade de carga elétrica que passa por um ponto específico do circuito em um determinado intervalo de tempo.
É uma medida do fluxo de elétrons (ou outras partículas carregadas) e é diretamente proporcional ao número de elétrons que se deslocam. Em termos mais técnicos, a intensidade da corrente é definida pela taxa de fluxo de carga elétrica através de uma superfície, como a seção transversal de um fio.
Como é medida: A intensidade da corrente é medida em Ampères (A), onde 1 Ampère equivale ao fluxo de 1 Coulomb de carga por segundo.
O que influencia: A intensidade da corrente em um circuito pode ser influenciada por vários fatores, incluindo:
- A tensão aplicada ao circuito: Conforme a Lei de Ohm indica, para uma resistência constante, um aumento na tensão resulta em um aumento na corrente.
- A resistência do circuito: Maior resistência implica menor corrente para uma dada tensão, também de acordo com a Lei de Ohm.
- O tipo de material do condutor: Materiais diferentes têm resistividades diferentes, o que afeta a facilidade com que a corrente pode fluir.
- A temperatura: Em muitos materiais, a resistência aumenta com a temperatura, o que pode diminuir a intensidade da corrente.
A intensidade da corrente elétrica é fundamental para o dimensionamento correto dos componentes de um circuito, garantindo que eles possam lidar com a corrente sem superaquecer ou falhar, e também para a segurança, para evitar choques elétricos e incêndios.
Entender a corrente elétrica e sua importância é apenas o começo. Na Ts Shara, transformamos esse conhecimento em soluções concretas que protegem seus valiosos dispositivos eletrônicos.
Seja para manter sua empresa em funcionamento sem interrupções ou para garantir a segurança dos seus equipamentos, nossos nobreaks, estabilizadores e filtros de linha são projetados para atender a todas as suas necessidades.
Não deixe a sua operação à mercê de surpresas elétricas. Descubra hoje como nossos produtos podem trazer tranquilidade e eficiência para o seu ambiente de trabalho.
Visite nosso site e conheça a linha completa de soluções que a Ts Shara tem a oferecer. Proteja seu investimento, escolha Ts Shara.

[…] a forma de onda da tensão e da corrente elétrica em tempo […]